Undang Undang Republik Indonesia

Penurunan Rumus Asas Black


Contoh Soal Dan Pembahasan Asas Black Lengkap Dengan Konsep Gammafis Blog
www.gammafisblog.com

Fluida Statis Tekanan Hidrostatik Tekanan Mutlak 4muda Com
www.4muda.com

Hukum Bernoulli Agiet27 S Blog
agiet27.wordpress.com

Turunan Fungsi Trigonometri Dan Contoh Soalnya Rumus Co Id
rumus.co.id

Penurunan 3 Rumus Penting Pada Cermin Cekung Yang Wajib Kamu Ketahui Fisikabc
www.fisikabc.com

Contoh Soal Hukum Archimedes Konsep Serta Pembahasan Gemboxin
gemboxin.blogspot.com

Penurunan Rumus Pemantulan
www.slideshare.net

Asas Black Pengertian Rumus Contoh Soal Dan Pembahasannya
rumus.co.id

Rumus Fraksi Mol Beserta Contoh Soalnya
rumusrumus.com

Asas Black Rumus Bunyi Pengertian Contoh Soalnya
laelitm.com

Kalor Pengertian Rumus Contoh Soal
rumuspintar.com

Rumus Cepat Suhu Guru Ilmu Sosial
www.ilmusosial.id

Rumus Gambar Pembentukan Bayangan Pada Lensa Tipis Contoh Soal Dan Pembahasan Fisikabc
www.fisikabc.com

Hukum Stokes Dan Viskositas Rumus Pengertian Dan Contoh
rumus.co.id

Sifat Koligatif Larutan Pengertian Rumus Contoh Soal
rumus.co.id

Asas Black Pengertian Rumus Contoh Soal Dan Pembahasannya
rumus.co.id

Contoh Soal Fisika Asas Black Dan Pembahasannya Kumpulan Ilmu Dan Pengetahuan Penting
ensiklopediilmupopuler355.blogspot.com

Contoh Soal Dan Pembahasan Asas Black Lengkap Dengan Konsep Gammafis Blog
www.gammafisblog.com

Penurunan Hukum Pemantulan Berdasarkan Prinsip Huygens
id.scribd.com

Penurunan Rumus Pemantulan
www.slideshare.net

Rumus Dan Bunyi Hukum Asas Black Hukum Kekekalan Energi Kalor Serta Contoh Soal Asas Black Berpendidikan Com
www.berpendidikan.com

Doc Penurunan Rumus Schrodinger Sandy Adilla Academia Edu
www.academia.edu

Contoh Soal Dan Pembahasan Asas Black Lengkap Dengan Konsep Gammafis Blog
www.gammafisblog.com

Pdf Evaluation Of Urea Dilution As A Technique For Estimating Body Composition Of Beef Steers In Vivo Validation Of Published Equations And Comparison With Chemical Composition
www.researchgate.net

Kalorimeter Dan Korelasinya Dengan Asas Black
id.scribd.com

Doc List Teori Pendahuluan Jurnal 1 Uswatul Inayah Academia Edu
www.academia.edu

Contoh Soal Serta Pembahasan Asas Black Lengkap Dengan Konsep Gemboxin
gemboxin.blogspot.com

Rumus Cepat Suhu Guru Ilmu Sosial
www.ilmusosial.id

My Sleep My Adventure Fluida Dinamis Dan Persamaan Hukum Bernoulli
ainulseptiank.blogspot.com

Rumus Kalor Jenis Pengertian Satuan Tabel Dan Contoh Soal
rumus.co.id

Penurunan Rumus Muai Panjang Luas Volume Contoh Soal Dan Pembahasan Fisikabc
www.fisikabc.com

Hukum Bernoulli Agiet27 S Blog
agiet27.wordpress.com

Materi Suhu Dan Kalor
fisikakontekstual.com

Praktek Kalorimeter Fisika Dasar
www.slideshare.net

Rumus Asas Black Bunyi Pengertian Dan Contoh Soalnya
rumusrumus.com

Praktek Kalorimeter Fisika Dasar
www.slideshare.net

Fisikabc Suhu Dan Kalor
www.fisikabc.com

Gerak Parabola Pengertian Rumus Dan Contoh Soal
rumus.co.id

Pengertian Rumus Kalor Lengkap Dengan Contoh Soalnya
rumusrumus.com

Contoh Soal Dan Pembahasan Asas Black Gammafis Blog
www.gammafisblog.com

My Sleep My Adventure Fluida Dinamis Dan Persamaan Hukum Bernoulli
ainulseptiank.blogspot.com

Praktek Kalorimeter Fisika Dasar
www.slideshare.net

Tegangan Permukaan Gejala Kapilaritas Pengertian Rumus Pipa Kapiler Kawat U Kohesi Adhesi Contoh Perhitungan Zat Cair 7
ardra.biz

Asas Black Qlepas Qterima
rumushitung.com

Https Nanopdf Com Download File 796 Pdf

Pengaruh Dan Hubungan Kalor Terhadap Suhu Benda Rumus Contoh Soal Dan Pembahasan Fisikabc
www.fisikabc.com

Sifat Koligatif Larutan Pengertian Rumus Contoh Soal
rumus.co.id

Kalor Pengertian Rumus Kapasitas Jenis Dan Contoh Soal
www.gurupendidikan.co.id

Doc Panas Pelarutan Ksft Docx Adilah Rummanah M Gani Academia Edu
www.academia.edu

Fisikabc Suhu Dan Kalor
www.fisikabc.com

Prinsip Dan Persamaan Bernoulli Gurumuda Net
gurumuda.net

Praktek Kalorimeter Fisika Dasar
www.slideshare.net

Pengertian Kalor Jenis Rumus Dan Contoh Soal Kalor Jenis Beserta Pembahasan Lengkap Pelajaran Sekolah Online
www.pelajaran.co.id

Praktek Kalorimeter Fisika Dasar
www.slideshare.net

Praktek Kalorimeter Fisika Dasar
www.slideshare.net

Kalor 7 Smp
fisikastudycenter.com

Rumus Asas Black Bunyi Pengertian Dan Contoh Soalnya
rumusrumus.com

Hukum Pascal Adalah Pengertian Rumus Bunyi Contoh Soal
rumus.co.id

Konsep Tugas Pendahuluan Diagram Pengadukkan Harga Air Asas Black Docx
id.scribd.com

Rumus Abc Matematika Pembuktian Pengertian Penggunaan
rumus.co.id

Asas Black Qlepas Qterima
rumushitung.com

Fluida Dinamis Persamaan Bernoulli Ciri Dan Contoh Soal
www.gurupendidikan.co.id

Contoh Soal Dan Pembahasan Asas Black Lengkap Dengan Konsep Gammafis Blog
www.gammafisblog.com

Asas Black Wikipedia Bahasa Indonesia Ensiklopedia Bebas
id.wikipedia.org

Prinsip Torricelli Belajar Fisika Bersama Pak Eko
ekokustanto.wordpress.com

Hukum Stokes Dan Viskositas Rumus Pengertian Dan Contoh
rumus.co.id

Perhatikan Grafik Perubahan Wujud Dan Suhu Pemanasan 100 Gram Es Berikut Grafiknya Cek Di Foto Brainly Co Id
brainly.co.id

Asas Black Pengertian Bunyi Rumus Dan Contoh Soal
rumusbilangan.com

Space Allocation In The Retail Industry A Decision Pdf Free Download
zbook.org

Contoh Soal Dan Pembahasan Asas Black Gammafis Blog
www.gammafisblog.com

Lks Asas Black Kalor Siswa Copy Copy Doc Document
fdokumen.com

Praktek Kalorimeter Fisika Dasar
www.slideshare.net

Smart Solution Un Fisika Sma 2013 Skl 3 Indikator 3 1 Kalor Perpind
www.slideshare.net

Persamaan Kontinuitas Dan Bernoulli Dalam Fluida Dinamis Myrightspot Com
www.myrightspot.com

5 Contoh Soal Dan Pembahasan Asas Black Disertai Penjelasan Lengkap Gammafis Blog
www.gammafisblog.com

Turunan Trigonometri Pengertian Rumus Dan Contoh Soalnya
rumusrumus.com

Kalorimeter Dan Korelasinya Dengan Asas Black
id.scribd.com

Contoh Soal Dan Pembahasan Asas Black Gammafis Blog
www.gammafisblog.com

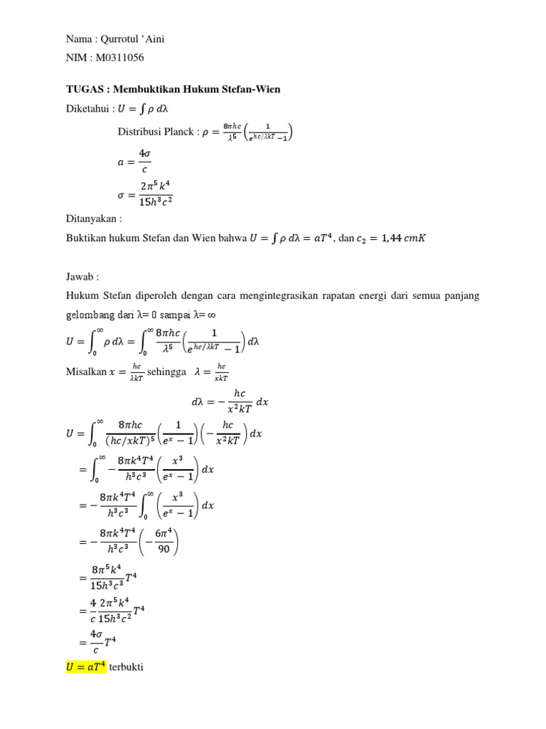
Pembuktian Rumus Stefan Wien
id.scribd.com

Fluida Dinamis Persamaan Bernoulli Ciri Dan Contoh Soal
www.gurupendidikan.co.id

Https Media Neliti Com Media Publications 215114 Remediasi Kesalahan Siswa Sma Mengerjaka Pdf

Asas Kontinuitas
rohmadi.info

Contoh Soal Serta Pembahasan Asas Black Lengkap Dengan Konsep Gemboxin
gemboxin.blogspot.com

Asas Black Pengertian Rumus Contoh Soal Dan Pembahasannya
rumus.co.id

Fisikabc
www.fisikabc.com

Rumus Turunan Matematika Dan Contoh Soal Lengkap
rumusrumus.com

Rumus Besaran Turunan Pengertian Dan Tabel Besaran Turunan
rumus.co.id

Pengertian Dan Rumus Asas Black Beserta Rumus Kalor Laten Berpendidikan Com
www.berpendidikan.com

Buku Ajar Hidraulika Bagus
www.slideshare.net

Tutorial Kalor Azas Black Youtube
www.youtube.com

Praktek Kalorimeter Fisika Dasar
www.slideshare.net

Rumus Cepat Suhu Guru Ilmu Sosial
www.ilmusosial.id

Http Yokirachmansyah Blogspot Com 2015 12 Aplikasi Bernoulli Venturimeter Tanpa Html

Http Yokirachmansyah Blogspot Com 2015 12 Aplikasi Bernoulli Venturimeter Tanpa Html

Rangkuman Rumus Fisika
www.slideshare.net

Hukum Bernoulli Agiet27 S Blog
agiet27.wordpress.com

Persamaan Kontinuitas Fluida Dinamis
fluidadinamis.weebly.com

Hukum Bernoulli Agiet27 S Blog
agiet27.wordpress.com

Hukum Snellius Amateur Physicist
rpprastio.wordpress.com

Contoh Soal Dan Pembahasan Asas Black Gammafis Blog
www.gammafisblog.com

close