Undang Undang Republik Indonesia

Tradisyonal Na Ekonomiya Command Economy Picture


Traditional Economy Definition Examples Pros Cons
www.thebalance.com

Alokasyon At Iba T Ibang Sistemang Pang Ekonomiya Kahulugan Ng Ekonomiks
sites.google.com

Tulong Huhu Baka Naman Brainly Ph
brainly.ph

Command Economy Advantages And Disadvantages
www.investopedia.com

19 Advantages And Disadvantages Of A Traditional Economy Brandongaille Com
brandongaille.com

Economy Clipart Tradisyonal Economy Tradisyonal Transparent Free For Download On Webstockreview 2020
webstockreview.net

Sistemang Pang Ekonomiya Handouts Docx Sistemang Pang Ekonomiya 1 Tradisyunal Na Ekonomiya Traditional Economy Ang Sistemang Tradisyunal Ay Nakabatay Course Hero
www.coursehero.com

G9 Sistemang Pang Ekonomiya
www.slideshare.net

3
encrypted-tbn0.gstatic.com

Production In Traditional Market Command Mixed Economic Systems Video Lesson Transcript Study Com
study.com

Ekonomiks
sites.google.com

Ekonomiks Teaching Guide Part 3
pdfslide.tips

Command Economy Definition Characteristics Advantages Examples Video Lesson Transcript Study Com
study.com

Gawain 2 Sistema Ikamo
es.scribd.com

1 Mga Katangian Ng Traditional Economy2 Mga Katangian Ng Market Economy3 Mga Katangian Ng Command Brainly Ph
brainly.ph

Aralin 6 By Romnielle Delarueda
prezi.com

Facebook
www.facebook.com

Ap Project By Jeannesis Saceda
prezi.com

Command Economy Definition Characteristics Advantages Examples Video Lesson Transcript Study Com
study.com

Kahulugan Ng Ekonomiks
www.techpopop.com

My First Portfolio Day Titser Titser
titsertitser.wordpress.com

Https Encrypted Tbn0 Gstatic Com Images Q Tbn 3aand9gcrvf3bdpaqdpcuooflq1omvfcdwbdsawwglyjibs8xskmz5ie5e Usqp Cau
encrypted-tbn0.gstatic.com

Alokasyon Storyboard Par Agustinjaybert
www.storyboardthat.com

What Is A Command Economy And What Are Some Examples Thestreet
www.thestreet.com

Tradisyonal Na Ekonomiyamarket Na Ekonomiya Docx Tradisyonal Na Ekonomiya Command Na E Konomiya Pinaghalo Na Ekonomiya Market Na Ekonomiya Course Hero
www.coursehero.com

G9 Sistemang Pang Ekonomiya
www.slideshare.net

G9 Sistemang Pang Ekonomiya
www.slideshare.net

Bethany Child Development Center
de.scribd.com

Ibigay Ang Kahulugan Ng Mga Sumusunod 1 Tradisyunal Na Ekonomiya 2 Market Economy 3 Command Economy Brainly Ph
brainly.ph

Command Economy
de.scribd.com

1 Ano Ang Iyong Naging Batayan Sa Pagpili Ng Sagit Sa Tradisyonal Na Ekonomiya Command Economy Mixed Brainly Ph
brainly.ph

Alokasyon
www.slideshare.net

Alokasyon
www.slideshare.net

Ibigay Ang Kahulugan Ng Mga Sumusunod 1 Tradisyunal Na Ekonomiya 2 Market Economy 3 Command Economy Brainly Ph
brainly.ph

Patulong Sa Ap Please Brainly Ph
brainly.ph

Aramaemeneses
aramaemeneses.wordpress.com

Luar Biasa Ekonomiks Poster Making Simple Koleksi Poster
koleksigambarposter.blogspot.com

Doc College Of Education Malamasusing Banghay Aralin Sa Pagtuturo Ng Araling Panlipunan Dark Magil Academia Edu
www.academia.edu

Https Encrypted Tbn0 Gstatic Com Images Q Tbn 3aand9gcrqopqhxrwkmdfvpkend Vsussbjs0l Uf5gm3omajjdgrdn8m3 Usqp Cau
encrypted-tbn0.gstatic.com

Kahulugan Ng Ekonomiks
www.techpopop.com

Traditional Economy Definition Examples Pros Cons
www.thebalance.com

Ang Kalakalang Panlabas Ng Pilipinas
www.techpopop.com

Economics Wikipedia
en.wikipedia.org

Alokasyon At Iba T Ibang Sistemang Pang Ekonomiya Kahulugan Ng Ekonomiks
sites.google.com

Mga Gawain Sa Ekonomiks 10 Aralin 1 4 Alokasyon
www.slideshare.net

Tj8rjcnobwsyfm

Https Www Depedldnhs Ph Uploads 8 2 0 1 8201356 G9 Ap 2 Pdf

G9 Sistemang Pang Ekonomiya
www.slideshare.net

What Is A Command Economy And What Are Some Examples Thestreet
www.thestreet.com

Piliin Sa Hanay Ng Mga Salita Ang Angkop Na Kataga Sa Bawat Larawan Isulat Sa Sagutang Papel Ang Brainly Ph
brainly.ph

Alokasyo Storyboard Por Nickaelladizon
www.storyboardthat.com

Tradisyonal Na Ekonomiya Command Economy Mixed Economy And Market Economy Brainly Ph
brainly.ph

Mixed Economy Britannica
www.britannica.com

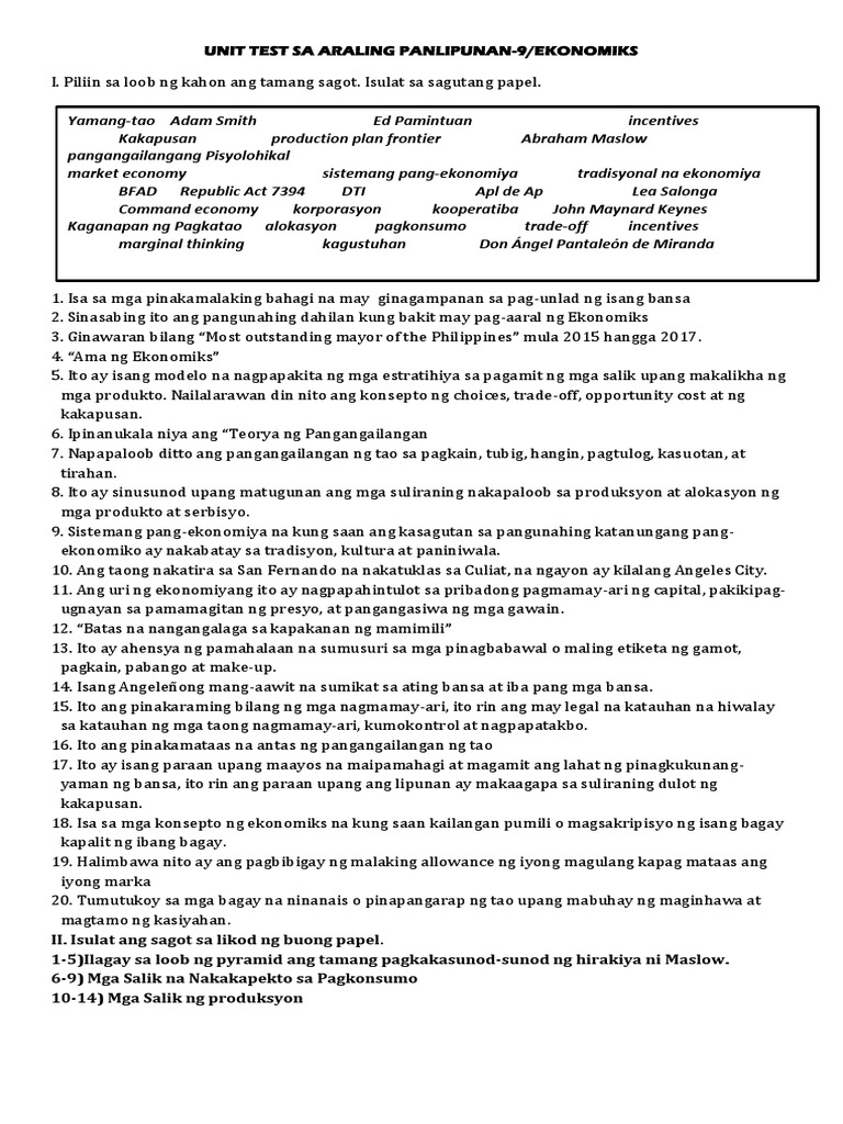
Unit Test Sa Araling Panlipunan 9 Ekonomiks
id.scribd.com

Dapatkan Inspirasi Untuk Tradisyunal Na Ekonomiya Poster Koleksi Poster
koleksigambarposter.blogspot.com

Halimbawa Ng Tradisyunal Na Ekonomiya Brainly Ph
brainly.ph

Ano Ang Iyong Naging Batayan Sa Pagpili Ng Sagot Sa Tradisyonal Na Ekonomiya Command Economy Mixed Brainly Ph
brainly.ph

Ano Ang Alokasyon Kahulugan At Ang Sistemang Pang Ekonomiya
philnews.ph

Uri Mg Sistemang Pang Ekonomiya
de.scribd.com

Alokasyon Sa Iba T Ibang Katangian Ng Sistemang Pang Ekonomiya
www.scribd.com

Mixed Economy Economics Help
www.economicshelp.org

Economic Systems Traditional Market Command Mixed Video Lesson Transcript Study Com
study.com

Mga Bansang Nakapaloob Sa Tradisyon Mixed Market At Command Economy By Josephine Javate
prezi.com

Tradisyunal Na Ekonomiya Market Economy Command Economy Mixed Economy E Course Hero
www.coursehero.com

Https Encrypted Tbn0 Gstatic Com Images Q Tbn 3aand9gcrrrhkulr8f7 0hkw8ajutdrcifowpq8zwhvfwahs3zpgm1d3pk Usqp Cau
encrypted-tbn0.gstatic.com

O3kbbo1qq0advm

Ibigay Ang Punong Ideya O Main Concept Na Tinutukoy Sa Bawat Chart Market Economy Traditional Economy Mixed Economy Command
e-edukasyon.ph

Ekonomiks Teaching Guide Part 3
pdfslide.tips

What Is A Traditional Economy Definition Characteristics Advantages Examples Video Lesson Transcript Study Com
study.com

What Is A Traditional Economy Definition Characteristics Advantages Examples Video Lesson Transcript Study Com
study.com

Aralin 4 Alokasyon
www.slideshare.net

Sistemang Pang Ekonomiya Handouts 1
www.scribd.com

Ap 9 Sistemang Pang Ekonomiya 1 Doc Grade 1 To 12 Daily Lesson Plan School Gghns Bocohan Extension Teacher Teaching Dates Maica G Lavarez Layunin A Course Hero
www.coursehero.com

Mga Gawain Sa Ekonomiks 10 Aralin 1 4 Alokasyon
pdfslide.tips

Calintaan National High School Photos Facebook
www.facebook.com

Economy Of Afghanistan Wikipedia
en.wikipedia.org

Alokasyon
www.slideshare.net

Traditional Economy Definition Examples Pros Cons
www.thebalance.com

Aralin 10 Mga Sistemang Pang Ekonomiya By Carlo Quibot
prezi.com

Alokasyon
www.slideshare.net

Alokasyon At Iba T Ibang Sistemang Pang Ekonomiya Kahulugan Ng Ekonomiks
sites.google.com

Aramaemeneses
aramaemeneses.wordpress.com

Economic System Overview Types And Examples
corporatefinanceinstitute.com

Mga Gawain Sa Ekonomiks 10 Aralin 1 4 Alokasyon
pdfslide.tips

Mga Sistemang Pang Ekonomiya Youtube
www.youtube.com

Oojzy2rflsq7rm

Ano Ba Ang Tradisyunal Na Ekonomiya Ekonomiks Info
ekonomiks.info

Sistemang Pang Ekonomiya Handouts Docx Sistemang Pang Ekonomiya 1 Tradisyunal Na Ekonomiya Traditional Economy Ang Sistemang Tradisyunal Ay Nakabatay Course Hero
www.coursehero.com

Alokasyon At Iba T Ibang Sistemang Pang Ekonomiya Kahulugan Ng Ekonomiks
sites.google.com

Alokasyon
www.slideshare.net

What Is A Mixed Economy Definition Characteristics Examples Video Lesson Transcript Study Com
study.com

Aramaemeneses
aramaemeneses.wordpress.com

Economy Clipart Tradisyonal Economy Tradisyonal Transparent Free For Download On Webstockreview 2020
webstockreview.net

Alokasyon
pt.slideshare.net

Traditional Economy Definition Examples Pros Cons
www.thebalance.com

G9 Sistemang Pang Ekonomiya
www.slideshare.net

Tradisyunal Na Ekonomiya Market Economy Command Economy Mixed Economy E Course Hero
www.coursehero.com

Panuto Piliin Sa Hanay Ng Mga Salita Ang Angkop Na Kataga Sa Bawat Larawan Isulat Sa Sagutang Papel Brainly Ph
brainly.ph

Alokasyon At Iba T Ibang Sistemang Pang Ekonomiya Kahulugan Ng Ekonomiks
sites.google.com

Alokasyon
www.slideshare.net

Economics Aralin 4 Diagram Quizlet
quizlet.com

Command Economy Advantages And Disadvantages
www.investopedia.com

2

Traditional Economy Definition Examples Pros Cons
www.thebalance.com

close